Product Name:Permanent Rubbine F6G
C.I.PIGMENT RED 184
CAS NO:99402-80-9
Code: P.R.184
C.I.NO:12487
Chemical Type:AZO
EINECS NO.:
Molecular Weight:565.02
Chemical Formula:C32H25ClN4O4
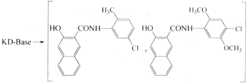
Structural Formula:

Pigment Red 184 is similar with pigment Red 146,used for printing ink like offset ink,water based ink,rotogravure ink,painting and coating,textile printing
|
Color shade |
Red |
|
Heat resistance |
180℃ |
|
Light resistance |
6 |
|
Water resistance |
4 |
|
Oil resistance |
4 |
|
Acid resistance |
5 |
|
Alkali resistance |
5 |
|
PH VALUE |
7 |