Product Name:Rhodamine 6G
C.I.PIGMEMT RED 169
CAS NO:122237-63-7
Code: P.R.169
C.I.NO:45160:2
Chemical Type:xanthenes
EINECS NO.:235-462-2
Molecular Weight:
Chemical Formula:
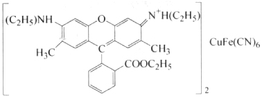
Structural Formula:

Pigment Red 169 used for offset ink,rotogravure ink,water based ink,textile printing
|
Color shade |
Bluish Red |
|
Heat resistance |
200℃ |
|
Light resistance |
6 |
|
Water resistance |
4 |
|
Oil resistance |
5 |
|
Acid resistance |
5 |
|
Alkali resistance |
5 |
|
PH VALUE |
6 |